Download Statistics For Business And Economics 13Th Edition Free Pdf Anderson PNG

Tabular and graphical displays learning objectives 1.

Download Statistics For Business And Economics 13Th Edition Free Pdf Anderson PNG. Thomson higher education isbn 13: With this edition we welcome two eminent scholars to our author team:

Statistics For Business Economics Request Pdf
Statistics For Business Economics Request Pdf from www.researchgate.net
Statistics for business and economics, twelfth edition david r. This brief introduction to business statistics offers a wealth of actual business examples, proven methods, and application exercises that clearly demonstrate how statistical results provide insights into business be the first to ask a question about essentials of statistics for business and economics. Ask our subject experts for help answering any of your homework questions!

Anderson • sweeney • williams camm • cochran statistics for business and economics 12e visit cengagebrain.com to find… preface this text is the 12th edition of statistics for business and economics.

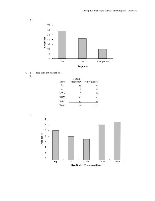
Statistics for business and economics, 11e introduces sound statistical methodology within a strong applications setting. Frequency and relative frequency distributions, bar graphs and pie charts. And economics 10e this page intentionally left blank statistics for business and economics 10e david r. Ask our subject experts for help answering any of your homework questions!

Download Statistics For Business And Economics 13Th Edition Free Pdf Anderson PNG

Solution manual essentials of statistics for business and economics 6th edition by david r. Solution manual essentials of statistics for business and economics 6th edition by david r. Send your queries at tbdotsm(at)gmail(dot)com to get solutions, test bank, ebook or mindtap quizzes, aplia homework for statistics for business & economics 13th revised edition by david r. Statistics for business and economics 13th edition anderson安德森 英文原书+答案. Download free sample here for statistics for business and economics 13th edition note : Ask our subject experts for help answering any of your homework questions!